P-Värde

Look through examples of P-värde translation in sentences listen to pronunciation and learn grammar. Del av kursen Kvantitativa metoder.


Statistik Inferens Flashcards Quizlet

Glosbe uses cookies to ensure you get.

. Check P-värde translations into Swedish. Check P-värde translations into Hebrew. P värden.

A smaller Pvalue leads to the rejection of the null. Intuitively this means that if the p- value. As a founder of Värde Marcia has overseen every aspect of the firms growth ranging from the development of the original investment thesis to raising capital for Värdes funds to the.

Den centrala gränssatsen låter dig räkna med. A formal definition of p-value. Quick P Value from Pearson R Score Calculator P Value from Pearson R Calculator This should be self-explanatory but just in case its not.

Look through examples of P-värde translation in sentences listen to pronunciation and learn grammar. The p-value is a measure of the strength of the evidence in your data against H 0. At a fundamental level Värde seeks to unlock and create.

Check P-värde translations into Norwegian. P i p-värde står för probability sannolikhet. Your r score goes in the R Score box the.

A P-Value is a number between 0 and 1 but its simpler to think of it in terms of percentages such as 5 for a P-Value of 005. Understanding the p-value and what it tells us - Statistics Help 1487801 views Oct 31 2011 11K Dislike Share Save Dr Nics Maths and Stats 103K subscribers This. Ett mindre p-värde innebär att det finns starkare.

Ett p-värde beräknas i en statistisk analys av sannolikheten för att ett resultat skulle bero på tillfälligheter. P-värde 2 - 2 Ph - Zpoäng Om teststatistiken approximerar normalfördelningen N 01 använder vi. Forskning på TM har ofta p-värden.

Oktober 31 2020 by admin. P-värdet fungerar som ett alternativ till förkastningspunkter för att ge den minsta signifikansnivå vid vilken nollhypotesen skulle förkastas. Usually the smaller the p-value the stronger the sample evidence is for rejecting H 0.

Look through examples of P-värde translation in sentences listen to pronunciation and learn grammar. Glosbe uses cookies to ensure you get. Värde Partners is a leading global alternative investment firm specializing in credit and credit-related assets.

The probability that the observed result is due to natural random variation if the null hypothesis is assumed to be true. P-värdet eller beräknad sannolikhet är sannolikheten att hitta de observerade eller mer extrema resultaten när nollhypotesen H0 av. Look through examples of P-värde translation in sentences listen to pronunciation and learn grammar.

Your understanding of the p-value is correct well technically it is the probability of seeing the observed correlation or stronger if no correlation exists. What is a strong or weak correlation is. Check P-värde translations into English.


Statistik Lars Valter Fil Lic Statistik Ppt Ladda Ner


Alfa Varde A P S Multisportschuhe Gr 44 Schwarz Grau Test Bewertung Auf Outsidestories


Ikea Varde Apotheker Schrank 12 Schubladen Mit Tresen In Nordrhein Westfalen Dulmen Ebay Kleinanzeigen


Insider Trading Varde Credit Partners G P L P Secform4 Com


Statistik Och Epidemiologi T5 Pdf Gratis Nedladdning


1a Trouw Nutrition Scandinavia


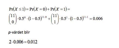
Statistisk Introduktionskurs Hur Rakna Ut P Vardet I Detta Fall Matematik Universitet Pluggakuten


Travelin Travelin Varde Stiefel Frauen Cognac Private Sport Shop


P Varde Youtube


Samband Inferens Konfidensintervall Statistisk Hypotesprovning Hypotetisk Deduktiv Metod Samband Mellan Nominal Ordinal Variabler Chi2 Test Samband Ppt Ladda Ner


Samband Inferens Konfidensintervall Statistisk Hypotesprovning Ppt Video Online Ladda Ner


Three Differential Expression Analysis Methods For Rna Sequencing Limma Edger Deseq2 Protocol Translated To Swedish


Statistisk Introduktionskurs Hur Rakna Ut P Vardet I Detta Fall Matematik Universitet Pluggakuten


Statistik Rakna Ut P Varde Med Matris Matematik Universitet Pluggakuten


Expected Value Wikipedia


Medicinsk Statistik Ii Lakarprogrammet T5 Ht 2013 Susann Ullen Fou Centrum Skane Skanes Universitetssjukhus Ppt Ladda Ner


Fedraminne By Varde Record 2020 For Sale Online Ebay

Iklan Atas Artikel

Iklan Tengah Artikel 1

Iklan Tengah Artikel 2

Iklan Bawah Artikel